#HK2737. 「JOISC 2016 Day 3」电报
「JOISC 2016 Day 3」电报
题目描述
题目译自 JOISC 2016 Day3 T3 「電報」
给出 个点,每个点的出度均为 ,给出这 个点初始指向的点 ,和改变这个点指向的目标所需要的价值 。
求让所有点强连通的最小花费。
输入格式
第一行输入一个数 表示点的个数。
之后的 行每行两个数 表示第 个点指向第 个点,更改该点指向的点花费为 。
输出格式
共一行,为让所有点强连通的最小花费。
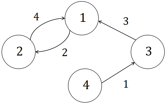
4
2 2
1 4
1 3
3 1
4

很显然,把 的这条边改成 (花费 4)的情况下构成强连通分量花费最小。
4
2 2
1 6
1 3
3 1
5
很显然把 的这条边改成 花费 2,把 的这条边改成 花费 3 的情况下构成强连通分量花费最小,总花费为 5。
4
2 2
1 3
4 2
3 3
4
3
2 1
3 1
1 1
0
数据范围与提示
对于全部的数据, , , , 。
具体子任务限制及得分情况如下表:
| Subtask | 限制 | 分数 |
|---|---|---|
| 无追加限制 |