#HK3594. 「CEOI2021」报纸
「CEOI2021」报纸
题目描述
题目译自 CEOI 2021 Day1 T3「Newspapers」
Ulovi me, ulovi me, kupit ću ti novine!
这是一首克罗地亚孩子们在做游戏时常唱的儿歌。翻译过来大概意思是:「抓住我,抓住我,我会给你买报纸!」。
Ankica 和 Branko 正在一张无向连通图上玩追逐游戏。Branko 正在图上移动,而 Ankica 试图去抓到他。这个游戏轮流进行,一轮由如下步骤组成:
- Ankica 猜 Branko 现在在哪儿。更确切地说,她会猜测 Branko 目前在某个特定的点处。如果她猜对了,Branko 就被抓住了,并且游戏结束,否则,
- Branko 通过一条恰与该点相连的边。换句话说,Branko 移向一个与他当前所在的点相邻的点。注意 Branko 不能停留在他当前所在的位置。
给定一张图,请确定 Ankica 是否有一个确定的策略可以在不论 Branko 如何进行游戏和任意起点位置的情况下永远可以抓到他。
形式化地说,我们用一个数组 代表 Ankica 的策略,这里 表示 Ankica 在第 轮猜的位置(即,她会猜 Branko 在点 处)。
类似地,我们用一个数组 代表 Branko 的移动,这里 表示 Branko 在第 轮前所处的位置。此外,对于每两个连续的元素 和 ,图上必须存在一条边连接 和 。注意对于数组 没有这个要求。
如果对于任意合法且长度为 的数组 ,都存在一个 满足 ,我们就称 Ankica 的策略是可以获胜的,即她会在最多 轮抓到 Branko。
如果这样的策略存在,你需要找到一个 最小的策略。
如果你可以找出一个可以获胜但不是最优的策略(即,一个 不是最小的策略),你也可以获得一些分数。参考「数据范围及限制」部分了解更多细节。
输入格式
第一行两个整数 和 ,分别表示图上的点数和边数。图中的点从 到 编号。
接下来 行,每行两个整数 ,用一个空格隔开,表示连接 和 的一条无向边。
输入中没有任何边会出现超过一次,并且图保证连通。
输出格式
如果对于 Ankica 没有可以获胜策略,只需要输出一行 NO 后退出程序即可。
否则,第一行输出 YES。
第二行输出一个整数 ,意义如题目描述。
第三行包含 个整数 ,意义如题目描述。
7 6
1 2
1 3
1 4
1 5
1 6
1 7
YES
2
1 1

如果 Branko 初始在点 ,他第一轮就会被抓到,否则,他会在第二轮被抓到。
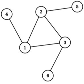
6 6
1 2
2 3
3 1
1 4
2 5
3 6
NO

令 Branko 的初始位置在点 中的一个,并且与 不同。这些点的每一个都与另两个相连,所以 Branko 每轮都有两种移动的方式,至少有一种方式是安全的。因此 Ankica 没有获胜策略。
数据范围与提示
| 子任务编号 | 附加条件 | 分值 |
|---|---|---|
| ,每个节点 和 相连 | ||
如果你的程序第一行中正确地输出了 YES,但没能输出一种获胜策略,那么你将获得测试点 的分数。
如果你的程序第一行中正确地输出了 YES,并且给出了一个不是最优的获胜策略,那么你将获得测试点 的分数。此外,为了获得这部分分数,输出的策略中游戏进行轮数 必须至多为 。可以证明最优策略中游戏轮数不超过 。
对于每个子任务,得分为子任务中测试点的最少得分。