#HK3938. 「COCI 2023.2」Mreža
「COCI 2023.2」Mreža
题目描述
译自 COCI 2022/2023 Contest #4 T4「Mreža」
市长 Mirko 住在一个有 个社区的城市里,这 个社区用 条双向道路连接,满足从任何社区出发都可以到达任意其他社区。
Mirko 想升级一些道路以疏导交通。对于每条路,我们知道目前在这条路上汽车的行驶速度 ,升级所需花费 和升级后在这条路上汽车的行驶速度 。
有 个不满意的市民来见 Mirko。每个人都有他们自己的升级建议。第 个市民的建议是:「我们应该在升级社区 和 之间的道路上投资 欧元。」
对于每个建议,Mirko 感兴趣的是,如果他的目标是使社区 和 之间的最低驾驶速度最大化,那么他在升级道路上最多花费 欧元的话这个最低驾驶速度是多少。
Mirko 瞬间意识到这个问题不简单,并且他雇佣你来帮助他!
输入格式
第一行包含一个整数 ,表示社区总数。
接下来 行,每行五个整数 $x_i,y_i,v_i,c_i,s_i\ (1\le x_i,y_i\le n,1\le v_i<s_i\le 10^9,1\le c_i\le 10^9)$,表示社区 和 之间有一条路相连,目前在这条路上汽车的行驶速度为 ,升级所需花费为 ,升级后在这条路上汽车的行驶速度为 。
接下来一行一个整数 ,表示不满意的市民总数。
接下来 行,每行三个整数 $a_i,b_i,e_i\ (1\le a_i,b_i\le n,a_i\neq b_i,1\le e_i\le 10^{18})$,意义如题目描述。
输出格式
输出 行,表示对每个市民建议的答案。
6
1 2 5 7 10
1 3 4 8 9
3 4 7 1 15
3 5 6 3 11
3 6 5 6 8
3
2 4 15
6 4 5
3 5 10
7
5
11
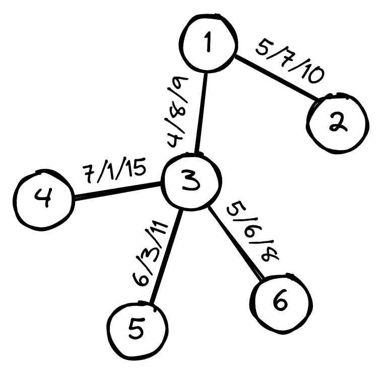
下图展示了这个城市和社区。边上写的分别是目前汽车的行驶速度,升级花费和升级后的汽车行驶速度。

如果我们升级 和 , 和 之间的道路,从 到 的行驶速度将变成 。最小为 。
如果我们升级 和 之间的道路,从 到 的行驶速度将变成 。最小为 。
如果我们升级 和 之间的道路,从 到 的行驶速度将变成 。
4
1 2 5 5 8
2 3 4 6 9
3 4 6 10 7
4
1 4 16
2 4 16
1 4 10
3 4 10
6
7
5
7
数据范围与提示
详细子任务附加限制及分值如下表。
| 子任务编号 | 附加限制 | 分值 |
|---|---|---|
| 每个社区最多与两个其他社区相连 | ||
| 无附加限制 |