#HK3988. 「IOI2023」封锁时刻
「IOI2023」封锁时刻
题目描述
匈牙利有 个城市,编号依次为 到 。
这些城市之间由 条双向道路连接,编号为 至 。对每个 (),第 条道路连接城市 和城市 ,其长度为 ,表示这两个城市之间的交通时间为 个时间单位。每条道路连接两个不同的城市,且每两个城市之间最多由一条道路连接。
两个不同城市 和 之间的一条路径 是一个由不同城市组成的序列 ,满足以下条件:
- ,
- ,
- 对每个 (), 存在一条道路连接 和 。
利用这些道路从任意一个城市到任意一个其他的城市都是有可能的。换言之,任意两个不同城市之间都存在路径。 可以证明两个不同城市之间的路径是唯一的。
一条路径 的长度是这条路径上连接相邻城市的 条道路的长度之和。
在匈牙利,很多人都会在建国日去参加在两个主要城市举行的庆祝活动。当庆祝活动结束时,他们会回家。政府为了防止人群干扰当地人,所以决定在特定时刻封锁城市。每个城市被政府分配一个非负的封锁时刻。政府决定所有城市的封锁时刻总和不得超过 。具体来说,对每个 (), 分配给城市 的封锁时刻是一个非负整数 。所有 之和不超过 。
考虑一个城市 和某个封锁时刻的分配方案, 我们说城市 是从城市 可达的当且仅当以下两种情况中的任意一种情况成立。
情况 1:。
情况 2:这两个城市之间的路径 ( 且 )满足以下条件:
- 路径 的长度最多为 ,并且
- 路径 的长度最多为 ,并且
- 路径 的长度最长为 。
今年,两个主要的庆祝地点位于城市 和 。 对于每一个封锁时刻的分配方案,可以定义一个便利分数,其定义为下面两个数字之和:
- 从城市 可达的城市个数。
- 从城市 可达的城市个数。
注意如果一个城市既能从城市 可达也能从城市 可达,那么它在计算便利分数时计算两次。
你的任务是计算能被某个封锁时刻分配方案实现的最大便利分数。
实现细节
你需要在程序开始引入库 closing.h。
你要实现以下函数。
int max_score(int N, int X, int Y, int64 K, int[] U, int[] V, int[] W)
- : 城市的个数
- , : 两个主要庆祝城市
- : 封锁时刻总和的上界
- , : 长度为 的描述道路连接情况的数组
- : 长度为 的描述道路长度的数组
- 该函数要返回能被某个封锁时刻分配方案实现的最大便利分数
- 每个测试用例可以多次调用该函数
例子
考虑以下调用:
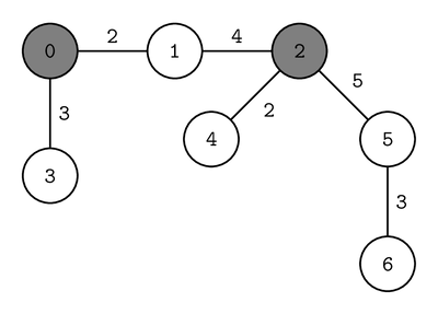
max_score(7, 0, 2, 10,
[0, 0, 1, 2, 2, 5], [1, 3, 2, 4, 5, 6], [2, 3, 4, 2, 5, 3])
这对应以下道路网络:

假设封锁时刻如下分配:
| 城市 | |||||||
|---|---|---|---|---|---|---|---|
| 封锁时刻 |
注意所有封锁时刻之和为 ,不超过 。城市 , 和 都是从城市 () 可达的,而城市 , 和 都可以从城市 () 可达。 因此,便利分数为 。不存在封锁时刻分配方案使得便利分数大于 ,所以该函数应该返回 。
考虑另外一个调用:
max_score(4, 0, 3, 20, [0, 1, 2], [1, 2, 3], [18, 1, 19])
这对应以下道路网络:

假设封锁时间如下分配:
| 城市 | ||||
|---|---|---|---|---|
| 封锁时刻 |
城市 从城市 () 可达,而城市 和 都是可以从城市 () 可达的。因此,便利分数是 。不存在封锁时刻分配方案使得便利分数大于 ,所以函数应该返回 。
约束条件
- (对每个 满足 )
- (对每个 满足 )
- 利用这些道路可以从任意一个城市走到任意另外一个城市。
- ,其中 是所有调用函数
max_score的 的总和。
子任务
我们说一个道路网络是线性的如果道路 连接城市 和 (对每个 的 )。
- (8 分) 从城市 到城市 的路径长度大于 。
- (9 分) ,道路网络是线性的。
- (12 分) , 道路网络是线性的。
- (14 分) , 道路网络是线性的。
- (9 分)
- (11 分)
- (10 分)
- (10 分)
- (17 分) 无额外的约束条件。
评测程序示例
令 表示场景数,即调用 max_score的次数。
评测程序实例按以下格式读取输入:
- 第 行:
以下是 个场景的描述。
评测程序实例按以下格式读取每个场景的描述:
- 第 行:
- 第 行 ():
评测程序实例按以下格式为每个场景打印单独一行
- 第 行:
max_score的返回值