#HK4183. 「ROI 2024 Day2」交互式通道
「ROI 2024 Day2」交互式通道
题目描述
译自 ROI 2024 Day2 T2. Интерактивные переходы
因诺波利斯大学校园包括 个建筑,通过 条通道连接。每条通道连接两个不同的建筑,且任意两个建筑之间最多只有一条通道。
每座建筑都装有可以开启或关闭的灯光系统。初始时,所有建筑的灯光都是关闭的。管理员可以通过一个动作来开启或关闭任一建筑的灯光。即使灯光已经是开启状态,管理员仍可以按下开启按钮,或者在灯光关闭时按下关闭按钮,这些操作不会改变灯光的状态。
类似地,每条通道也有灯光系统,初始也是关闭状态。但与建筑灯光不同的是,通道的灯光会根据连接的建筑自动调整:如果管理员的操作后,连接的两座建筑灯光状态相同,则通道灯光会变为相同状态;如果不同,则通道灯光保持不变。
换句话说,如果管理员操作后,一条通道两端的建筑灯光都关闭,则通道灯光也会关闭;如果两端建筑灯光都开启,则通道灯光也会开启;如果一端开启而另一端关闭,则通道灯光状态保持不变。
在信息学奥林匹克竞赛参赛者到来前,校园主任对每个建筑和每条通道的灯光状态有明确的要求。
你需要求出管理员是否能通过一系列操作来实现主任的灯光要求。如果可能,找出任意一种操作序列。解决方案应正确识别是否可以达到所需的灯光状态,即使不提供具体的操作序列,也可以获得部分分数。
输入格式
输入包含多组数据。第一行包含一个整数 ,表示测试数据的组数。
每组输入数据的第一行包含两个整数:$ n,m \ (1 \leq n \leq 10^5, 0 \leq m \leq 2 \cdot 10^5)$,分别表示建筑的数量和通道的数量($$)。
接下来的 行描述通道。每行包含三个整数 $ a_i, b_i, c_i \ (1 \leq a_i, b_i \leq n, a_i \neq b_i , 0 \leq c_i \leq 1)$,分别表示连接的两个建筑的编号,以及通道 的期望灯光状态。如果 ,则通道 的灯光应该关闭;如果 ,则应该开启。
最后一行包含 个整数 ,表示每座建筑的期望灯光状态。如果 ,则建筑 的灯光最终应该关闭;如果 ,则应该开启。
所有输入数据组的 值之和不超过 。所有输入数据组的 值之和不超过 。
输出格式
对于每组输入数据:
- 如果无法通过一系列操作达到所需的灯光状态,输出
NO。 - 如果可能,输出
YES。如果不想展示具体的操作序列,接下来输出-1并继续到下一个输入数据组。如果想展示操作序列,则在下一行输出整数 (,所有输入数据组的 总和不应超过 ),表示操作数,接着在下 行输出具体操作。
对于每个操作 ,输出两个整数:,分别表示进行操作的建筑编号和表示新的灯光状态,如果 ,则表示关闭建筑 的灯光,如果 ,则表示开启。
5
4 4
1 2 0
2 3 1
3 4 0
2 4 1
0 1 0 0
4 4
1 2 0
2 3 1
3 4 0
4 1 1
0 1 0 1
1 0
1
1 0
0
2 1
1 2 0
0 0
YES
5
4 1
3 1
2 1
3 0
4 0
NO
YES
1
1 1
YES
1
1 0
YES
0
在这个样例中,有五组测试数据。
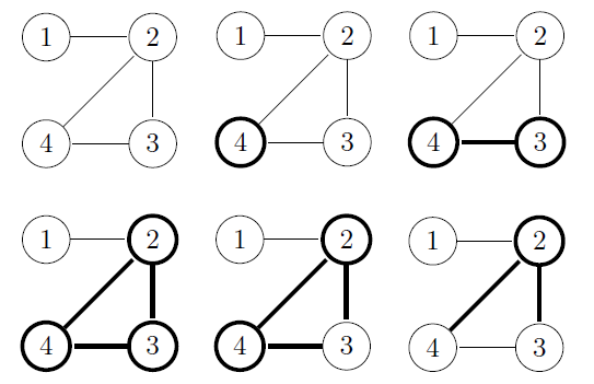
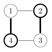
在第一组数据中,包括四个用圆圈表示的建筑和四条用线条表示的连接。建筑或连接的灯光是否开启由粗线表示。需要五个步骤来实现所需的灯光效果。以下图像展示了灯光的初始状态和每个操作后的状态。

在第二组数据中,需要实现四个建筑和四条连接的特定配置,但这是不可能的。

在第三组数据中,有一个建筑需要开启灯光。这可以通过一个操作来完成。
在第四个数据中,有一个建筑,其灯光需要被关闭。可能的操作序列是在该建筑中进行单一的灯光关闭操作。这是一个合法的操作,尽管灯光已经是关闭状态。
在第五个数据中,有两个建筑和一个通道,所有的灯光都需要关闭。一个空的操作序列是合法的,可以实现这一配置。
数据范围与提示
详细子任务附加限制及分值如下表所示。
| 子任务 | 分值 | 的限制 | 的限制 | 附加限制 | 子任务依赖 |
|---|---|---|---|---|---|
| , , | |||||
| , | |||||
| , , | |||||
| ,任意两个建筑之间都联通 | |||||
| , , | |||||