#HK4214. 「CCO 2016」Legends
「CCO 2016」Legends
题目描述
加拿大由许多城市和道路组成,每条路都可以双向通行。从任意一个城市都能通过这些道路到达另一个城市。
苏茜研究加拿大人的创世神话。她特别感兴趣于五个神话(对应这个问题的五个子任务)。这些神话非常相似,每个神话都有如下的结构:
一开始,加拿大的道路网络有着特定的布局。随着时间的推移,为了满足不断增长的人口需求,道路网络发生了变化。每次变化有以下两种形式:
- 在两个原本没有直接相连的城市之间修建一条道路。
- 建立一座新城市。刚建立的新城市一开始不会和任何现有城市相连。
- 城市 增长过大,被分割成两个城市 和 。原本直接与 通过道路相连的城市被划分为集合 和 。从 中的每个城市到 ,从 中的每个城市到 ,以及从 到 都建造了一条道路。例如,
变成了 
五个神话的区别在于它们描述的初始道路网络结构不同。以下是每个神话中的原始结构:
- 子任务 1(烧瓶神话):

- 子任务 2(月亮神话):

- 子任务 3(太阳神话):

- 子任务 4(鹰爪神话):

- 子任务 5(狐狸神话):

对于每个子任务,你必须根据加拿大的布局输入,确定这个神话是否可能是真实的。
输入格式
第一行包含一个整数 ,表示你需要解决的子任务。第二行包含一个整数 ,表示数据组数。每组输入数据由一个空行隔开,接着是两个整数 ,分别表示城市和道路的数量。城市编号从 到 。接下来 行,每行包含两个整数 ,表示由道路连接的两个城市。没有道路连接一个城市到自身。没有两条道路连接同一对城市。可以通过这些道路从任何一个城市到达另一个城市。
输出格式
对于每组输入数据,输出一行一个字符串 YES 或 NO。
1
2
4 5
1 2
2 3
3 4
1 3
2 4
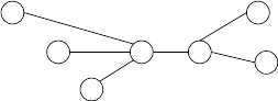
7 8
1 2
2 3
3 4
4 1
4 5
5 6
6 7
7 4
YES
NO
| 输入数据编号 | 道路网络 | 解释 |
|---|---|---|
![]() |
符合烧瓶神话 | |
![]() |
不符合烧瓶神话 |
2
2
2 1
1 2
5 6
1 3
5 1
2 3
4 5
1 2
3 5
NO
YES
| 输入数据编号 | 道路网络 | 解释 |
|---|---|---|
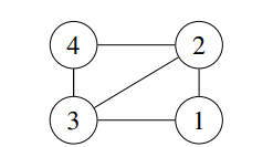
![]() |
不符合月亮神话 | |
![]() |
符合月亮神话,因为我们可以在由城市 形成的月亮上添加城市 和 以及一些额外的道路 |
3
2
7 8
1 2
2 3
3 4
4 1
4 5
5 6
6 7
7 4
8 8
1 2
2 3
3 4
4 5
5 6
6 1
7 3
8 7
YES
YES
| 输入数据编号 | 道路网络 | 解释 |
|---|---|---|
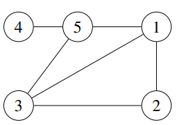
![]() |
符合太阳神话,在城市 上 | |
![]() |
符合太阳神话,在城市 之间插入了一些新城市 |
4
2
4 4
1 2
2 3
3 4
4 1
6 6
1 2
2 3
1 4
4 5
2 4
1 6
NO
YES
| 输入数据编号 | 网络 | 解释 |
|---|---|---|
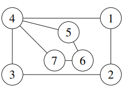
![]() |
不符合鹰爪神话 | |
![]() |
符合鹰爪神话,在城市 上 |
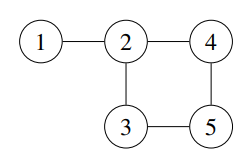
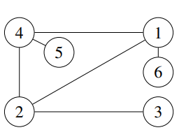
5
2
5 5
1 2
2 3
2 4
4 5
3 5
6 6
1 2
2 3
1 4
4 5
2 4
1 6
NO
YES
| 输入数据编号 | 网络 | 解释 |
|---|---|---|
![]() |
不符合狐狸神话 | |
![]() |
符合狐狸神话,在城市 上 |
数据范围与提示
在子任务 3 中,所有输入数据组的 之和最多为 ,所有输入数据组的 之和最多为 。
在所有其他子任务中,所有输入数据组的 之和最多为 ,所有输入数据组的 之和最多为 。
对于 的数据,$1 \leq S \leq 5,T\geq 1, 2 \leq N, 1 \leq M, 1 \leq a, b \leq N$。









