#HK4265. 「KTSC 2023 R1」外环道路 2
「KTSC 2023 R1」外环道路 2
注意事项
在 LibreOJ 上,由于语言限制,目前只支持以下语言的提交:
- C++(标准为 C++ 17 及以上)
请在提交源代码前添加 #include "ringroad2.h"。
题目描述
题目译自 2023년도 국제정보올림피아드 대표학생 선발고사 - 1차 선발고사 T2 「외곽 순환 도로 2」
KOI 城市由 个交叉路口和 条双向道路组成,任意两个不同的交叉路口都可以通过这些道路互相到达。也就是说,城市的道路网络是一个树结构。道路位于二维平面上,除了端点外,任何两条道路都不相交。每条道路都有一个非负整数的权重。
KOI 城市几十年前还是一个小村庄,但随着人口的涌入和城市的扩张,变得越来越大。在快速扩张的过程中,市长为了方便管理,给交叉路口编号为 到 。这种编号系统具有以下特性:
- 号交叉路口是城市的中心,保证至少有两条道路与其相连。
- 交叉路口的编号是以 号交叉路口为根的树的前序遍历顺序之一。
- 对于每个交叉路口,考虑与其相邻的(直接连接的)交叉路口中编号最小的一个。从这个交叉路口开始,按逆时针方向列出相邻交叉路口的编号,编号是递增的。
随着越来越多的人涌入 KOI 城市,交通拥堵问题变得越来越严重。市长决定通过建设外环道路来解决这个问题。将所有只有一条道路相连的交叉路口按编号递增的顺序排列,得到列表 。市长决定在所有 的情况下,建设连接 和 的双向道路。每条道路的权重为非负整数 。根据编号系统的特性,可以确保这些外环道路不会在端点之外的任何位置相交。
KOI 城市的邪恶犯罪团伙 Dlalswp 对市民造成了很大伤害。市长决定派遣情报人员来抓捕 Dlalswp 犯罪团伙。根据情报,Dlalswp 犯罪团伙将长度为奇数的简单环作为犯罪区域,并在这些环上进行犯罪活动。
为了抓捕臭名昭著的 Dlalswp 犯罪团伙,市长决定在所有长度为奇数的简单环上部署警察。每条道路上部署警察的成本等于该道路的权重。请计算市长实现目标所需的最小成本。
实现细节
你需要实现以下函数:
long long place_police(vector<int> P, vector<long long> C, vector<long long> W);
- 该函数只会被调用一次。
P:大小为 的整数数组,表示建设外环道路前 KOI 城市的原始道路。对于每个 ,存在一条连接 和 的道路。C:大小为 的整数数组。对于每个 ,连接 和 的道路的权重为 。W:大小为 的整数数组。对于每个 ,连接 和 的双向道路的权重为 。- 该函数返回在所有长度为奇数的简单环上部署警察的最小成本。
注意,提交的代码中不应包含任何输入输出操作。
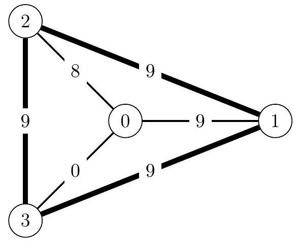
样例 1
考虑 的情况。
评测程序将调用如下函数:
place_police([0, 0, 0], [9, 8, 0], [9, 9, 9]);
下图展示了 KOI 城市的地图。

KOI 城市中共有 个奇数环,分别是 。如果市长在连接 的权重为 的道路和连接 的权重为 的道路上部署警察,那么所有奇数环上至少有一条道路上部署了警察。这个部署的成本是 ,这是实现目标的最小成本。
函数应返回 9。
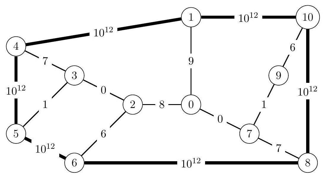
样例 2
考虑 , , , 的情况。 的大小为 ,所有元素均为 。
评测程序将调用如下函数:
place_police([0, 0, 2, 3, 3, 2, 0, 7, 7, 9], [9, 8, 0, 7, 1, 6, 0, 7, 1, 6], [1000000000000, 1000000000000, 1000000000000, 1000000000000, 1000000000000, 1000000000000]);
下图展示了 KOI 城市的地图。

如果市长在连接 的权重为 0 的道路、连接 的权重为 0 的道路和连接 的权重为 1 的道路上部署警察,那么所有奇数环上至少有一条道路上部署了警察。这个部署的成本是 ,这是实现目标的最小成本。
函数应返回 1。
数据范围与提示
对于所有输入数据,满足:
- 对于所有 ,
- 对于所有 ,
- 对于所有 ,
详细子任务附加限制及分值如下表所示。
| 子任务 | 分值 | 附加限制 |
|---|---|---|
| 对于所有 , | ||
| 对于所有 ,; 对于所有 ,; 为偶数 |
||
| 对于所有 ,; 对于所有 , |
||
| 不存在与 条以上道路相连的交叉路口 | ||
| 无附加限制 |
示例评测程序
示例评测程序按以下格式读取输入:
- 第 行:
- 第 行:
- 第 行:
示例评测程序按以下格式输出:
- 第 行:函数
place_police返回的值
注意,示例评测程序可能与实际评测程序不同。