#HK4266. 「KTSC 2023 R1」出租车旅行
「KTSC 2023 R1」出租车旅行
注意事项
在 LibreOJ 上,由于语言限制,目前只支持以下语言的提交:
- C++(标准为 C++ 17 及以上)
请在提交源代码前添加 #include "taxi.h"。
题目描述
题目译自 2023년도 국제정보올림피아드 대표학생 선발고사 - 1차 선발고사 T3 「택시 여행」
IOI 国由 个城市和连接这些城市的 条双向道路组成,任意两个不同的城市都可以通过这些道路互相到达。也就是说,IOI 国的道路网络是一个树结构。
每个城市都有一个编号,从 到 ,其中 号城市是 IOI 国的首都。对于每个 ,第 条道路连接 号城市和 号城市,道路长度为 公里。
在 IOI 国,不同城市的出租车费用不同。具体来说,对于每个 ,从 号城市出发的出租车有一个基本费用 元和每公里的费用 元。这意味着,如果从 号城市出发并行驶 公里,需要支付 元。
小明目前住在首都 号城市,他计划乘坐出租车去其他城市旅行。当他到达一个城市时,可以选择继续乘坐当前的出租车,或者换乘该城市出发的出租车。当然,换乘出租车需要支付基本费用,并且每公里的费用也可能不同。请计算从 0 号城市出发到达其他所有城市的最小费用。
实现细节
你需要实现以下函数:
vector<long long> travel(vector<long long> A, vector<int> B, vector<int> U, vector<int> V, vector<int> W);
- 该函数只会被调用一次。
A:大小为 的整数数组。对于每个 , 是从 号城市出发的出租车的基本费用。B:大小为 的整数数组。对于每个 , 是从 号城市出发的出租车的每公里费用。U, V, W:大小为 的整数数组。对于每个 , 号城市和 号城市之间有一条长度为 公里的道路。- 该函数返回一个大小为 的数组 。对于每个 , 是从 号城市出发到达 号城市的最小费用。
注意,提交的代码中不应包含任何输入输出操作。
样例
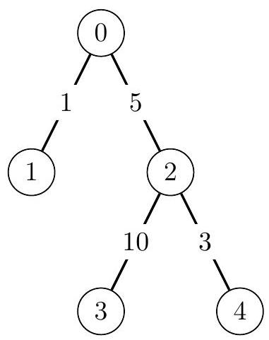
考虑 $N=5, A=[10,5,13,4,3], B=[10,7,5,9,1], U=[1,0,3,2], V=[0,2,2,4], W=[1,5,10,3]$ 的情况。
评测程序将调用如下函数:
travel([10, 5, 13, 4, 3], [10, 7, 5, 9, 1], [1, 0, 3, 2], [0, 2, 2, 4], [1, 5, 10, 3]);
下图展示了 IOI 国的地图。

- 从 号城市到 号城市的最优方案是直接从 号城市乘坐出租车,总费用为 元。
- 从 号城市到 号城市的最优方案是直接从 号城市乘坐出租车,总费用为 元。
- 从 号城市到 号城市的最优方案是先从 号城市乘坐出租车到 号城市,然后换乘,再经过 号和 号城市到达 号城市,总费用为 元。
- 从 号城市到 号城市的最优方案是先从 号城市乘坐出租车到 号城市,然后换乘,再经过 号和 号城市到达 号城市,再换乘,经过 号城市到达 号城市,总费用为 元。
函数应返回 [20, 60, 104, 88]。
数据范围与提示
对于所有输入数据,满足:
- 对于所有 ,
- 对于所有 ,
- 对于所有 ,
- 对于所有 ,
详细子任务附加限制及分值如下表所示。
| 子任务 | 分值 | 附加限制 |
|---|---|---|
| 对于所有 , | ||
| 对于所有 , | ||
| 的 不超过 个 | ||
| 无附加限制 |
示例评测程序
示例评测程序按以下格式读取输入:
- 第 行:
- 第 行:
- 第 行:
- 第 行:
示例评测程序按以下格式输出:
- 第 行:函数
travel返回的数组的第 个元素
注意,示例评测程序可能与实际评测程序不同。