#HK4268. 「KTSC 2023 R2」基地简化
「KTSC 2023 R2」基地简化
注意事项
在 LibreOJ 上,由于语言限制,目前只支持以下语言的提交:
- C++(标准为 C++ 17 及以上)
请在提交源代码前添加 #include "base.h"。
题目描述
题目译自 2023년도 국제정보올림피아드 대표학생 선발고사 - 2차 선발고사 T1 「기지 간소화」
在遥远的未来,人类已经扩展到许多外星行星。行星 X 是其中之一,宇宙探险公司 MR 在行星 X 上建立了基地,进行探险和资源采集活动。
行星 X 上有 个基地和连接这些基地的 条双向通道,任意两个不同的基地都可以通过这些通道互相到达。也就是说,行星 X 的基地和通道构成了一棵树。
每个基地都有一个编号,从 到 。对于每个 ,第 条通道连接 号基地和 号基地,通道的长度为 公里。
随着行星 X 的开发逐渐稳定,维护所有基地和通道的成本变得很高,因此 MR 决定只保留部分基地,其他的将被停用。
假设只保留编号为 到 的基地 。此时的维护成本定义如下:
- 选择 条或更多的通道,使得以下条件得到满足,并且选择的通道长度之和最小(选择 条通道时,长度之和为 公里)。
- 对于任意 , 号基地和 号基地可以通过选择的通道互相到达,中间经过停用的基地也没关系。
- 选择的通道长度之和为 公里时,维护成本为 。
由于尚未决定保留哪些基地,MR 希望知道所有可能的 组合下,只保留编号为 到 的基地时的维护成本之和。你需要为 MR 计算这个值。由于结果可能非常大,请对 取模。
实现细节
你需要实现以下函数:
int maintenance_costs_sum(vector<int> U, vector<int> V, vector<int> W);
- 该函数只会被调用一次。
U, V, W:大小为 的整数数组。对于每个 , 号基地和 号基地之间有一条长度为 公里的通道。- 该函数返回所有可能的 组合下,只保留编号为 到 的基地时的维护成本之和,对 取模的结果。
注意,提交的代码中不应包含任何输入输出操作。
样例
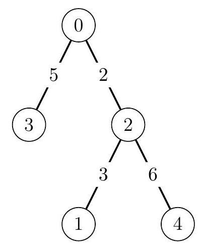
考虑 的情况。
评测程序将调用如下函数:
maintenance_costs_sum([0, 2, 2, 0], [2, 1, 4, 3], [2, 3, 6, 5]);
下图展示了行星 X 的基地和通道布局。

对于所有可能的 组合,维护成本如下表所示:

函数应返回 98。
数据范围与提示
对于所有输入数据,满足:
- 对于所有 ,
- 对于所有 ,
详细子任务附加限制及分值如下表所示。
| 子任务 | 分值 | 附加限制 |
|---|---|---|
| 基地的编号是以 号基地为根的树的前序遍历顺序之一 | ||
| 每个基地最多连接 条通道 | ||
| 无附加限制 |
示例评测程序
示例评测程序按以下格式读取输入:
- 第 行:
- 第 行:
示例评测程序按以下格式输出:
- 第 行:函数
maintenance_costs_sum返回的值
示例评测程序可能与实际评测程序不同。