#HK4272. 「KTSC 2022 R1」进化
「KTSC 2022 R1」进化
注意事项
在 LibreOJ 上,由于语言限制,目前只支持以下语言的提交:
- C++(标准为 C++ 17 及以上)
请在提交源代码前添加 #include "evolution.h"。
题目描述
题目译自 2022년도 국제정보올림피아드 대표학생 선발고사 - 1차 선발고사 T1 「진화」
我们正在研究多个生物体的进化过程。除了最初的生物体外,所有其他生物体都是通过现有生物体的进化而诞生的。我们将现有的生物体称为父生物体,新诞生的生物体称为子生物体。
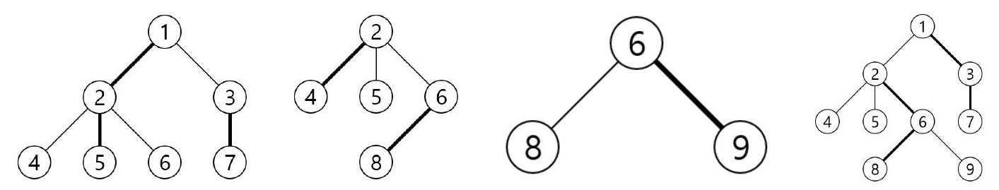
生物体通过进化诞生的过程可以用一个树结构来表示,其中生物体是节点,进化过程是连接父生物体和子生物体的边。最初的生物体是树的根。例如,下图展示了一个进化树,其中 号生物体进化出 和 号生物体, 号生物体进化出 、 和 号生物体, 号生物体进化出 号生物体, 号生物体进化出 和 号生物体。

对于每个有子生物体的生物体,我们将可能的进化路径分为主要进化和次要进化。
这种分类方法的效率可以通过进化复杂度来衡量。两个生物体 和 之间的进化复杂度定义为进化树中连接 和 的路径上经过的次要进化的数量。进化树的进化复杂度是所有生物体对之间进化复杂度的最大值。
进化复杂度越高,分析两个生物体之间的关联性就越困难。因此,我们需要通过适当的分类方法将进化树的进化复杂度最小化。
研究将持续 天。第一天,我们只发现了 号生物体。接下来的每一天,我们将进行以下两种研究之一:
- 发现一个新的生物体,该生物体是现有生物体进化而来的。如果现有生物体的数量为 ,那么这个新生物体将被命名为 号生物体。这种研究将进行 次。
- 分析一个生物体及其通过 次或多次进化而诞生的所有生物体。我们需要计算以该生物体为根的进化树的最小进化复杂度。每次分析是独立的,不会影响后续的分析。这种研究将进行 次。
请编写一个程序来执行上述研究计划。
实现细节
你需要实现以下三个函数:
void init();
- 该函数在
observation和analyze函数调用之前只会被调用一次。
void observation(int P);
- 该函数表示从编号为 的生物体进化出一个新的生物体。当前发现的生物体数量为 ,新生物体编号为 。
int analyze(int R);
- 该函数表示分析编号为 的生物体及其通过 次或多次进化而诞生的所有生物体。函数返回以 号生物体为根的进化树的最小进化复杂度。
注意,提交的代码中不应包含任何输入输出操作。
样例
评测程序将按以下顺序调用函数:
init();
observation(1);
observation(1);
observation(2);
observation(2);
observation(2);
observation(3);
analyze(1); // 返回 2
observation(6);
analyze(2); // 返回 2
observation(6);
analyze(6); // 返回 1
analyze(1); // 返回 2
下图展示了每次 analyze 调用时的进化树及其最佳分类方法之一。主要进化路径用粗线表示。

数据范围与提示
对于所有输入数据,满足:
详细子任务附加限制及分值如下表所示。
| 子任务 | 分值 | 附加限制 |
|---|---|---|
| ; | ||
| ; | ||
| 第 号生物体的父生物体是 号生物体 | ||
| 每个生物体最多有 个子生物体 | ||
| ; | ||
| 无附加限制 |
示例评测程序
示例评测程序按以下格式读取输入:
- 第 行:
- 第 行:如果调用
observation函数,则输入1 P;如果调用analyze函数,则输入2 R。。
示例评测程序按以下格式输出:
- 第 行:第 次调用
analyze函数的返回值
示例评测程序可能与实际评测程序不同。