#HK4804. 「RMI 2023」To be, xor not to be
「RMI 2023」To be, xor not to be
题目描述
题目译自 Romanian Master of Informatics 2023 Day2 T3 「To be, xor not to be」
丹德罗马克的贵族王子斯特甘,因心爱的父亲去世而悲痛万分。他曾不懈地尝试通过计算各种梯形图形的面积(用辛普森法则)来探究父亲的命运,可惜毫无结果。正当他几近绝望时,一位精灵现身相助,赠予他一棵树,让他悉心照料。后来,精灵对他说:「看!仔细看!你发现了吗?这棵树很特别,它的顶点数量是偶数。只要你能找到一种最佳方式,把这些顶点两两配对,让配对的总成本尽可能小,你就能揭开父亲去世的真相。不过,首先你得弄清楚配对的成本是什么,它的秘密藏在生命的意义里。」
斯特甘是个数学天才,他深知生命的真谛在于那句名言:「生存,还是异或生存」(至于后面的话,咱们就不多说了)。于是他推断出,对于一对顶点,配对的成本是连接它们的简单路径上所有边的权值的按位异或(XOR)结果。
可惜,天意弄人,斯特甘完全不懂计算机科学,面对这个问题束手无策,只好向你求助。
具体来说,你会得到一棵有 个顶点的树, 是偶数。每条边都有一个权值。对于一对顶点 ,它们的配对成本是连接它们的简单路径上所有边权值的按位 XOR。
你的任务是把这些顶点分成 对,使得所有配对成本的总和尽量小。因为要找到绝对的最优解可能太难,我们只要求你尽力而为,你会根据结果获得相应的分数。
输入格式
第一行是一个偶数整数 ,表示树中顶点的数量。接下来的 行,每行包含三个用空格分隔的数字 ,表示有一条权值为 的边连接 和 。 和 都在 到 之间。
输出格式
第一行输出你所选配对的总成本。接下来的 行,每行输出一对配对的顶点编号。所有配对之间不能有重复的顶点。
6
5 2 42
5 4 52
6 3 26
4 6 39
1 6 15
54
1 6
3 5
4 2

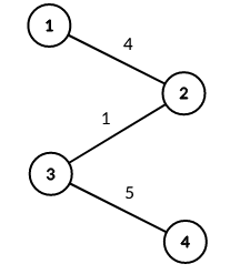
4
1 2 4
3 4 5
2 3 1
1
2 3
1 4

数据范围与提示
对于所有输入数据,满足:
- 是偶数
- 按位 XOR (^) 操作返回一个数字,其二进制表示中,每一位上是 的情况是两个操作数对应位中恰好有一个是 。
详细子任务附加限制及分值如下表所示。
| 子任务 | 分值 | 附加限制 |
|---|---|---|
| 无附加限制 |
对于每个子任务:
- 如果你的程序在某个测试点中无法生成合法答案(超时、运行错误),该子任务得分为 。
- 如果你输出的 对配对无法正确分割 个顶点,或者与你输出的总成本不符,答案也不算正确。
- 如果以上情况都没发生,你将根据以下公式得分:
其中:
- 表示该子任务中的每个测试点
- 是你的代码在测试点 中计算出的成本
- 是测试点 的最优答案