#HK4895. 「POI2014 R2」拉力赛 Rally
「POI2014 R2」拉力赛 Rally
题目描述
题目译自 XXI Olimpiada Informatyczna — II etap Rajd
字节城即将迎来一年一度的自行车赛。当地自行车手个个是长距离耐力好手。然而,与自行车手素有恩怨的摩托车手团体决定搞破坏,誓要让这场盛事泡汤!
字节城有 个路口,通过单向街道相连。有趣的是,街道网络无环:若从路口 可达 ,则绝无路径从 回到 。自行车赛的路线将沿着这些街道展开。摩托车手计划在比赛日清晨,骑着锃亮的摩托车霸占某个路口,彻底封锁它。虽然自行车协会会迅速调整路线,但新路线可能较短,让自行车手无法尽展耐力。这正是摩托车手的阴谋:他们要挑一个路口封锁,让绕过它的最长路线尽可能短。
请你编写程序,帮摩托车手找出最佳的封锁路口!
输入格式
输入第一行包含两个整数 ,分别表示路口数和街道数。路口编号为 到 。
接下来的 行描述路网,每行两个整数 ,表示从路口 到 有一条单向街道。
输出格式
输出一行,包含两个整数:第一个表示摩托车手应封锁的路口编号,第二个表示绕过该路口后自行车手能通过的最长路线的街道数。若有多解,输出任意一解即可。
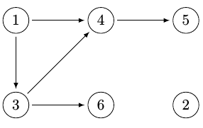
6 5
1 3
1 4
3 6
3 4
4 5
1 2

附加样例
- ,路网为一条路径,最佳封锁点在中间;
- ,存在所有从编号较小到较大路口的街道;
- ,从路口 有街道到 (若 )及 (若 )。
数据范围与提示
对于 的数据,每条街道满足 。