#HK4979. 「POI 2024/2025 R2」Drzewo genealogiczne
「POI 2024/2025 R2」Drzewo genealogiczne
题目描述
题目译自 XXXII Olimpiada Informatyczna – II etap Drzewo genealogiczne
Bajtazar 最近迷上了追溯自己姓氏的起源。在他的家族中,有个独特的传统:父母姓氏为 和 的孩子,姓氏为 或 ,由父母自由选择。
Bajtazar 翻遍旧箱子,找到 代前的祖先记录,称这些为原始祖先。令人惊讶的是,当时的姓氏仅为单个小写英文字母。 代前有 位祖先,因为每人有两个父母、四个祖父母、八个曾祖父母,以此类推。这些祖先编号为 到 ,其中 与 配对, 与 配对,每对生一个孩子,孩子编号为 到 (如 和 的孩子为 )。此过程逐代重复,直到 Bajtazar 这一代,仅剩他一人。
Bajtazar 的姓氏长度为 ,但他不清楚其形成过程,因为祖先可自由选择孩子姓氏的字母顺序。他开始怀疑档案记录可能有误,请你帮忙验证。
情况是动态变化的,Bajtazar 会修改档案或自己的姓氏。你的任务是判断初始状态及每次 次事件后,他的姓氏是否可能由档案中的祖先姓氏按规则生成。事件 为以下两种之一:
- Bajtazar 将自己姓氏的第 位字母改为 。
- 原始祖先 的姓氏改为 ( 为小写字母)。
输入格式
第一行包含两个整数 ,表示代数和事件数。
第二行包含 个小写英文字母,描述 Bajtazar 的姓氏。
第三行包含 个小写英文字母,第 个字母表示原始祖先 的姓氏。
接下来的 行描述事件,第 行包含两个整数 和一个小写字母 。若 ,表示修改 Bajtazar 姓氏第 位为 ;若 ,表示修改祖先 的姓氏为 。
输出格式
输出 行。第一行表示初始状态的答案,接下来的 行按事件顺序表示每次事件后的答案。若 Bajtazar 的当前姓氏可由档案姓氏按规则生成输出 TAK,否则输出 NIE。
2 4
abcd
cadb
1 2 c
2 4 c
1 1 d
1 4 a
NIE
NIE
TAK
NIE
TAK
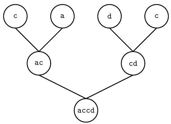
初始及每次事件后的情况如下:
-
Bajtazar 姓氏为
abcd,祖先姓氏为c, a, d, b。不可生成,答案为NIE。 -
Bajtazar 姓氏为
accd,祖先姓氏不变。不可生成,答案为NIE。 -
Bajtazar 姓氏为
accd,祖先姓氏为c, a, d, c。可生成,父母姓氏为ac和cd,答案为TAK。
-
Bajtazar 姓氏为
dccd,祖先姓氏不变。不可生成,答案为NIE。 -
Bajtazar 姓氏为
dcca,祖先姓氏不变。可生成,父母姓氏为ca和dc,答案为TAK。
附加样例
- ,测试仅含字母
a和b。 - ,初始 Bajtazar 姓氏为祖先姓氏的镜像,保持每两事件后此性质。
- ,Bajtazar 姓氏全为
a,祖先姓氏全为b,答案为 NIE。 - ,初始两字符串全为
a,每两事件将对应位置改为b。 - ,Bajtazar 姓氏由
xyzw多次重复,祖先姓氏由yxzw重复,事件将前者改为zyxw重复,后者改为yzxw重复,每四事件答案为TAK,其余为NIE。
数据范围与提示
详细子任务附加限制及分值如下表所示。
| 子任务编号 | 附加限制 | 分值 |
|---|---|---|
| 无附加限制 |