#HK5061. 「POI2017 R3」披萨配送员 Pizza delivery
「POI2017 R3」披萨配送员 Pizza delivery
题目描述
题目译自 XXIV Olimpiada Informatyczna — III etap Dostawca pizzy
拜托城是一座风景如画的城市,拥有 个路口,通过 条双向道路相连。每路口旁有一户人家,其中之一是 Bajtazar 的披萨店。拜托城的居民酷爱披萨,每日清晨,Bajtazar 烘焙 张披萨,挨家挨户送达(除自家外)。
为避免披萨冷却,Bajtazar 为配送车配备了尖端加热器,但其耗能极高,他希望尽量缩短使用时间。他的策略是:装载若干披萨,开启加热器,送至部分住户,送完最后一张后关闭加热器,返回披萨店。他最多愿意进行 次配送,想知道送完所有披萨所需的最短加热器运行时间。
加热器在停留期间(Bajtazar 送披萨上门时)的运行时间可忽略。
输入格式
第一行包含两个正整数 ,分别表示拜托城的路口数量和 Bajtazar 最多愿意进行的配送次数。路口编号为 至 ,披萨店位于路口 。
接下来的 行描述路网,第 行包含三个正整数 ,表示路口 和 间有一条双向道路,单向通行需 分钟。路网保证任意两路口间可达(不一定直接)。
输出格式
输出一行,包含一个整数,表示 Bajtazar 配送所有披萨所需的最短加热器运行时间(分钟)。
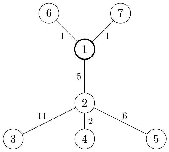
7 3
1 2 5
2 3 11
2 4 2
5 2 6
1 6 1
7 1 1
34

Bajtazar 进行三次配送:$1 \rightarrow 2 \rightarrow 4 \rightarrow 2 \rightarrow 5 \rightsquigarrow 1$(加热器运行 分钟),( 分钟),$1 \rightarrow 6 \rightarrow 1 \rightarrow 7 \rightsquigarrow 1$( 分钟)。
附加样例
- ,小型完全二叉树,通往叶子的道路通行时间 分钟,其余道路 分钟。
- ,披萨店直达所有路口,大型随机通行时间。
- ,披萨店直达两个路口,其中之一可达其余所有路口,所有通行时间为 。
数据范围与提示
所有测试数据满足 。
详细子任务附加限制及分值如下表所示。
| 子任务 | 附加限制 | 分值 |
|---|---|---|
| 且 | ||