#HK5325. 「EGOI2025」水流
「EGOI2025」水流
题目描述
题目译自 European Girls' Olympiad in Informatics 2025 Day2 T2. Currents
在波恩市一座废弃房屋的中庭深处,你发现了一本古老的书,揭示了这个城市最隐秘的秘密。在城市深处,有一个由 个洞穴组成的系统,通过 条水道相连。每条水道内有一股单向的魔法水流,可以迅速将船沿水道运送。洞穴系统目前只有一个出口,位于洞穴 。
你对自己的发现感到非常兴奋,迫不及待地想探索这些洞穴!然而,洞穴系统中住着一个喜欢与不速之客开玩笑的巨魔。巨魔拥有一些有限的魔法力量——在你的访问期间他最多只能使用一次——来修改洞穴系统,使你更难到达出口。
你对洞穴系统的访问将由一系列回合组成。每个回合如下:
- 首先,巨魔可以选择是否使用他的魔法力量。如果他使用,他的咒语将立即执行以下所有操作:
- 反转每条水道中魔法水流的方向: 将变为 ;
- 关闭洞穴 的出口;
- 在洞穴 开辟一个新的出口。
- 然后,你选择从当前洞穴流出的一条魔法水流,并使用你的船前往另一个洞穴。为了简单起见,我们将使用船称为“移动”。
此外,每当你与出口在同一个洞穴时,你将立即使用它离开洞穴系统。请注意,如果你在洞穴 并且巨魔决定使用他的魔法力量,这种情况甚至可能在回合中发生。
你的目标是尽快离开洞穴系统,以便赶上 EGOI 的闭幕式。巨魔的目标恰恰相反;他希望尽可能长时间地将你留在他的洞穴中。巨魔始终知道你的位置,他会选择使用魔法力量的时机,以最有利于他目标的方式。
分别考虑从每个洞穴 开始的场景。对于每个场景,确定你可以从洞穴 确定到达出口的最小移动次数,无论巨魔何时选择使用他的力量。
假设未使用咒语,从洞穴 可以到达每个洞穴,并且从每个洞穴都可以到达洞穴 。
输入格式
输入的第一行包含两个整数 和 ,其中 是洞穴数量, 是水道数量。
接下来的 行每行包含两个整数 和 ,表示当前可以用来从洞穴 前往洞穴 的水道。没有水道将洞穴连接到自身。对于每对洞穴,每个方向最多只有一条水道。
输出格式
输出一行包含 个整数,其中第 个整数是从洞穴 开始时可以确定到达出口的最小移动次数。
注意,你不需要输出洞穴 的时间(因为你会立即从这个洞穴退出)。
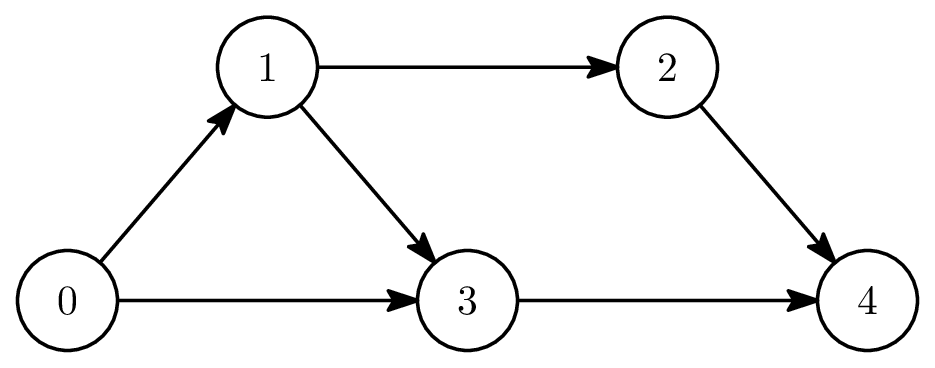
5 6
0 1
1 2
1 3
2 4
3 4
0 3
2 2 2 1
对于第一个样例,考虑你从洞穴 开始的情况。由于你不知道方向反转何时会发生,你应该开始朝洞穴 的出口移动。你可以通过洞穴 或洞穴 到达。选择通过洞穴 是更好的选择,因为如果方向反转在你到达那里时发生,你将有一条水道可以直接从洞穴 到洞穴 ,然后你就可以离开洞穴系统。
更具体地说,巨魔决定使用魔法力量的时机只有三种可能性:
- 如果巨魔在你位于洞穴 时立即使用他的力量,你可以直接从洞穴 到洞穴 并离开。
- 如果巨魔在你从洞穴 到洞穴 后使用他的力量,你可以直接从洞穴 到洞穴 并离开。
- 如果巨魔在这两种情况下都不使用他的力量,你将从洞穴 到洞穴 并离开。
在第一种选择中你只需要移动一次,在其他两种选择中你移动了两次。这意味着此情况的答案是 。
注意,如果你选择从洞穴 到洞穴 ,巨魔可以迫使你移动三次。

7 10
2 6
5 3
4 2
1 6
2 3
3 6
4 5
0 4
4 1
0 1
2 1 2 3 2 4
第二个样例满足子任务 的限制条件。
2 1
0 1
1
第三个样例满足所有子任务的限制条件。
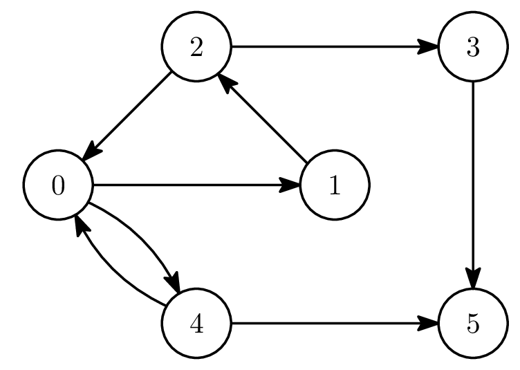
6 8
0 1
4 0
1 2
2 3
3 5
0 4
4 5
2 0
2 4 3 3 1

第四个样例满足子任务 的限制条件。
数据范围与提示
对于所有输入数据,满足:
- 。
- 。
- 且 。
- 在方向反转之前,洞穴 可以到达所有洞穴,并且从所有洞穴都可以到达洞穴 。
详细子任务附加限制及分值如下表所示。
| 子任务 | 分值 | 附加限制 |
|---|---|---|
| , 且 对于所有 。换句话说,洞穴系统形成路径 $0 \rightarrow 1 \rightarrow 2 \rightarrow \ldots \rightarrow N-1$ | ||
| 对于每个 ,存在从洞穴 到洞穴 的直接水道。注意可能存在额外水道。 | ||
| 离开任何洞穴后,无法返回该洞穴(直到方向反转)。换句话说,水道形成有向无环图。 | ||
| 无附加限制 |