#HK5357. 「OOI 2025 Day 2」强连通性反击
「OOI 2025 Day 2」强连通性反击
题目描述
题目译自 Open Olympiad in Informatics 2025 Day2 T1 「Сильная связность наносит ответный удар / Strong Connectivity Strikes Back」。
在有向图中,如果从顶点 到顶点 存在一条路径,同时从顶点 到顶点 也存在一条路径,则称顶点 和 是强连通的。注意到,如果 和 强连通,且 和 强连通,则 和 也是强连通的。因此,图的顶点可以被分成若干集合——强连通分量。属于某个强连通分量的顶点,与该分量内的所有顶点(包括自身)强连通,而与分量外的顶点不强连通。
在图论课上,爱丽丝在黑板上画了一个包含 个顶点的有向图,并标注了其强连通分量。课间休息时,鲍勃决定捉弄爱丽丝,擦除图中某些边的方向。他希望在休息结束后,爱丽丝能够根据剩余的边和强连通分量的划分,唯一地恢复被擦除的方向。
请帮助鲍勃,计算出他最多可以在多少条边上擦除方向,以及有多少种方式可以做到这一点。
更形式化地,求图中边的子集 的最大大小,使得满足以下性质:如果擦除子集 中边的方向,则根据原来的强连通分量信息和未被擦除方向的边,可以唯一地恢复子集 中边的方向,使得强连通分量保持不变。
由于最大子集的数量可能非常大,请输出其对 取模的结果。
如果解决方案正确计算了最大子集 的大小,但未能正确计算出这样的子集数量,将获得部分分数。
输入格式
第一行包含三个整数 $(2 \leq n \leq 2000, 1 \leq m \leq 2000, 0 \leq g \leq 7)$,分别表示图的顶点数、边数和子任务编号。
接下来的 行,每行包含两个整数 和 ,表示第 条边的起点和终点顶点编号。
保证对于任意 , 且 ,即任意两个顶点之间最多有一条边,不论方向如何。
输出格式
第一行输出一个整数,即可以擦除方向的最大边子集的大小。
第二行输出一个整数,即这样的最大子集数量对 取模的结果。如果你不打算计算子集数量,可以在第二行输出任意一个 到 之间的数字,此时你的解决方案将获得部分分数。
注意,如果第二行没有输出任何数字,将导致「答案错误」判定,并在此测试点中得 分,即使子集大小正确也无济于事。
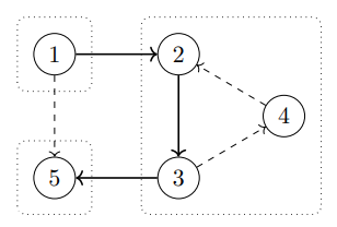
5 6 0
1 2
1 5
2 3
3 4
3 5
4 2
3
3
示例图中标注了强连通分量:

在用虚线标注的边上可以擦除方向。确实,边 不能反向,否则顶点 、、 和 将处于同一强连通分量。边 和 也不能反向,否则顶点 、 和 将不再处于同一强连通分量。
以下是一个不正确的选择子集方式:

在此不能擦除用粗虚线标注的边的方向。例如,如果将边 和 的方向反转,将得到一个具有相同强连通分量划分的图。
可以证明,无法在 条边上擦除方向,因此答案为 。
数据范围与提示
详细子任务附加限制及分值如下表所示。其中子任务 是样例。
| 子任务 | 部分分数 | 满分 | 附加限制 | 子任务依赖 | 备注 |
|---|---|---|---|---|---|
| , | |||||
| , | |||||
| ,对于所有 ,存在边 | |||||
| 对于所有 ,存在边 ,存在边 | |||||
| 图由单个强连通分量组成 | |||||