#HK5393. 「ROI 2014 Day 1」玩具自动售货机
「ROI 2014 Day 1」玩具自动售货机
题目描述
译自 ROI 2014 Day1 T1. Автомат с игрушками
在 E 城的娱乐中心安装了一台新一代的游戏机。玩家可以向机器投掷硬币,并观察硬币从顶部到底部穿过一个分叉的管道迷宫。迷宫中有 个节点,编号从 到 。当硬币被投入时,它会首先进入编号为 的节点。除了第一个节点外,每个节点都有一个从上方进入的管道,硬币可以通过该管道到达该节点。每个节点最多有两条向下延伸的管道,一条通向左下方,另一条通向右下方。每条管道都有一定的宽度。硬币会优先掉入宽度较大的管道,如果两条管道宽度相等,则会选择左侧的管道。
硬币通过一条管道后,该管道的宽度会减少 。如果管道宽度为 ,硬币将无法通过。如果硬币到达一个无法继续向下移动的节点,机器会停止运行,等待下一枚硬币的投入。
初始时,迷宫的每个节点内都放置了一件玩具。当硬币第一次到达某个节点时,该节点内的玩具将被投掷硬币的玩家获得。
潘克拉特看中了编号为 的节点内的玩具。
你需要编写一个程序,计算潘克拉特需要投掷多少枚硬币,才能获得编号为 的节点内的玩具。
输入格式
输入文件的第一行包含一个整数 ,表示迷宫中节点的数量。
接下来的 行描述了各个节点的情况,第 行描述编号为 的节点。
编号为 的节点的描述包含四个整数:。
- 如果编号为 的节点有通向左下方的管道,则 表示该管道通向的节点编号, 表示该管道的宽度;如果没有左管道,则 。
- 如果编号为 的节点有通向右下方的管道,则 表示该管道通向的节点编号, 表示该管道的宽度;如果没有右管道,则 。
输入文件的最后一行包含一个整数 ,表示潘克拉特看中的玩具所在的节点编号。
保证除了第一个节点外,所有节点都只有一条从上方进入的管道。
输出格式
输出文件应包含一个整数,表示潘克拉特需要投掷的硬币数量,以获得编号为 的节点内的玩具。如果无法获得该玩具,则输出 。
7
2 1 3 2
0 0 6 3
4 1 5 1
0 0 0 0
7 2 0 0
0 0 0 0
0 0 0 0
5
3
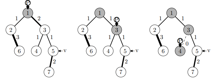
在第一个样例中,第一枚硬币将沿以下路径穿过迷宫,玩家将获得编号为 、 和 的节点中的玩具。

第二枚硬币将沿以下路径穿过迷宫,玩家将获得编号为 和 的节点中的玩具。

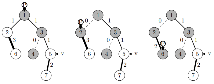
第三枚硬币将沿以下路径穿过迷宫,玩家将获得编号为 和 的节点中的玩具。

4
0 0 2 1
4 1 3 1
0 0 0 0
0 0 0 0
3
-1
数据范围与提示
详细子任务附加限制及分值如下表所示:
| 子任务 | 分值 | 附加限制 |
|---|---|---|
| , | ||
| , |