#HK6094. 「Codeforces Round #418」归乡迷途
「Codeforces Round #418」归乡迷途
题目描述
日が暮れてる 年も暮れてる 途方に暮れちゃってる
黄昏降临,岁暮到来,路途变得一片迷茫
有一张 个节点组成的无向图,点从 至 编号,图中没有重边和自环。我们不知道它的确切形态,但是它满足以下条件:
- 由任一节点至节点 的最短路径(经过边数最少的路径)存在且唯一;
- 令 表示由节点 至节点 的最短路径上边的数目,那么对于所有 ,有 成立;
- 节点 的度数给定,为 ,并且所有 均等于 或 。
请计算满足条件的不同的图的数目,输出其除以 的余数。两张无向图不同当且仅当存在点对 使得其中一张图中 间有边而另一张图中没有。
输入格式
输入的第一行包含一个正整数 —— 节点的数目。
第二行包含 个空格分隔的整数 —— 依次为节点 的度数。输入保证所有 之和为偶数。
输出格式
输出一个整数 —— 满足条件的不同的图的数目除以 所得的余数。
4
3 2 3 2
1
样例 1 中,满足条件的图有且仅有下图中的一张,其中节点 至节点 的最短路径均经过 条边。

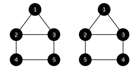
5
2 3 3 2 2
2
样例 2 中,满足条件的图有且仅有下图中的两张。

5
2 2 2 2 2
2
20
2 2 2 2 3 2 3 2 2 2 2 2 2 2 2 2 2 3 3 2
82944
数据范围与提示
子任务 1 ;
子任务 2 ;
子任务 3 ;
子任务 4 没有附加限制。
遠回りでも 特別な道
即使迂回而行,亦是别样的旅途
遠回りでも 遠回りじゃない
即使迂回而行,也浑然不觉
——「帰り道」