#HK6435. 「PKUSC2018」星际穿越
「PKUSC2018」星际穿越
题目描述
有 个星球,它们的编号是 到 ,它们坐落在同一个星系内,这个星系可以抽象为一条数轴,每个星球都是数轴上的一个点,特别地,编号为 的星球的坐标是 。
一开始,由于科技上的原因,这 个星球的居民之间无法进行交流,因此他们也不知道彼此的存在。现在,这些星球独立发展出了星际穿越与星际交流的工具。对于第 个星球,他通过发射强力信号,成功地与编号在 的所有星球取得了联系(编号为 1 的星球没有发出任何信号),取得联系的两个星球会建立 双向 的传送门,对于建立了传送门的两个星球 , 上的居民可以花费 1 单位时间传送到 , 上的居民也可以花费 1 单位时间传送到 ,我们用 表示从编号为 的星球出发,通过一系列星球间的传送门,传送到编号为 的星球最少需要花费的时间。
现在有 个星际商人,第 个商人初始所在的位置是 , 他的目的地是 中的其中一个星球,保证 。他会在这些星球中等概率挑选一个星球 (每个星球都有一样的概率被选中作为目的地),然后通过一系列星球的传送门,花费最少的时间到达星球 。商人想知道他花费的期望时间是多少?也就是计算 $\frac{1}{r_i-l_i+1}{\sum_{y=l_i}^{r_i}{dist(x_i,y)}}$ 。
输入格式
第一行一个正整数 ,表示星球的个数。
第二行 个正整数,第 个正整数为 ,表示编号在 区间内所有星球已经与编号为 的星球取得了联系,并且可以通过花费 1 单位进行彼此的传输。保证
第三行一个正整数 ,表示询问组数。
接下来 行,每行三个数字 ,表示在 这个区间中等概率选择一个星球 , 的期望。保证
输出格式
对于每组询问,注意到答案必然是一个有理数,因此以 的格式输出这个有理数,要求 。
如果答案为整数 ,输出 。
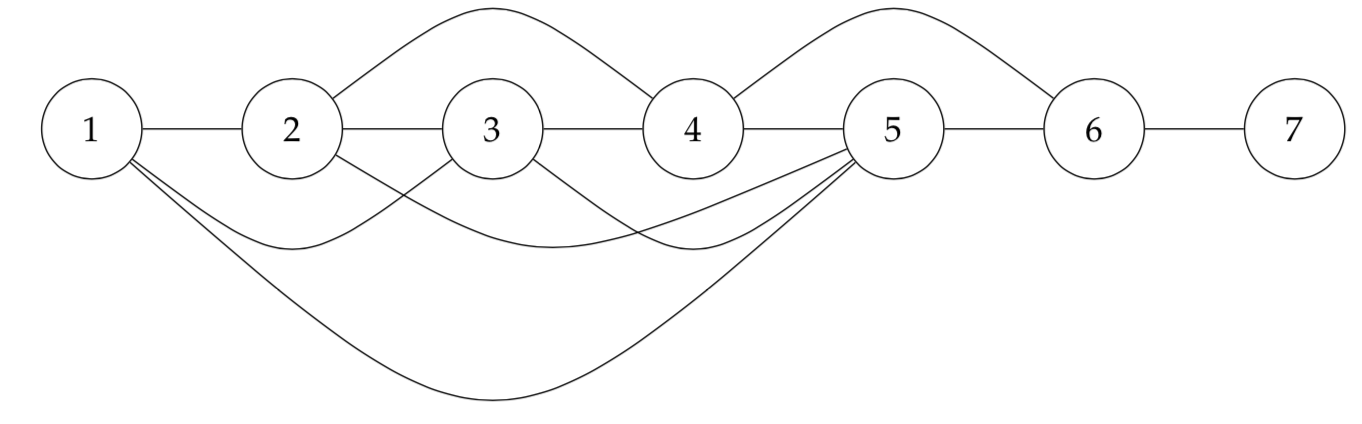
7
1 1 2 1 4 6
5
3 4 6
1 5 7
1 2 4
1 2 6
1 3 5
3/2
13/5
3/2
2/1
1/1
样例对应的无向图如下:
数据范围与提示
对于 的数据,满足 。
对于另 的数据,满足
对于另 的数据,满足
对于 的数据,满足